A construção de um amplificador de guitarra pode ser uma das experiências mais gratificantes no DIY. Vamos então construir um amplificador de guitarra usando apenas um componente activo: um Mosfet a trabalhar em classe A.
É um amplificador minimalista inspirado nos projectos desenvolvidos e partilhados por Nelson Pass, o guru do hi-fi em classe A - https://www.passdiy.com

Quanto ao material, resume-se a 6 componentes (mais ou menos)
- Mosfet: IRF610, IRF620, IRFP240,...
- lâmpada de 12V21W ou 10W
- farol de automóvel ou suporte para lâmpada
- 1MOhm, resistência 1/4W
- potenciómetro 1M (opcional)
- 1000uF, 25V condensador electrolítico
- 220nF,25v condensador não polarizado
- 2 x jack fêmea de painel
- fonte de alimentação de portátil (comprar em segunda mão ou pedir a um amigo(a), toda a gente tem uma guardada lá em casa)
- dissipador (80x78x35mm)
- basta térmica (opcional)
- isolante TO-220 l, (opcional, mas é necessário algum cuidado para evitar curto-circuitos)
- madeiras para montagem da caixa (ou caixa metálica)
- calha de alumínio
- parafusos vários, cola de madeira, ...
A ideia deste texto é construir um pequeno power amp que soa bem quando se faz o overdrive. Note-se que apenas vamos construir um power-amp com um fantástico 1W usando um mosfet.

Circuito simplificado, circuito completo
A figura seguinte mostra o circuito completo do amplificador. Tal como está o Mosfet vê qualquer coisa como 3.5V no drain e tem um ganho para uma corrente de repouso igual a 600mA da ordem de 8 (ganho máximo para diferentes valores do potenciómetro P1).
Quer isto dizer que se o sinal de entrada for 0.1V à saída teremos 0.8V, o ganho é um factor multiplicativo.
A impedância de entrada é da ordem dos 50 kOhms que é mais do que suficiente para ser ligada a qualquer output de um pedal de distorção ou booster e cá temos o nosso pré-amplificador para desenrascar.
Os condenadores de acoplamento, de 220nF e de 1000uF, entrada e saída respectivamente, controlam a resposta em frequência do circuito. Outros pares de valores seriam possíveis para a mesma resposta em frequência mas, ao meu ouvido, soa melhor a distorção (quando se faz o overdrive) ao deixar passar graves à entrada e cortá-los à saída com um valor mais baixo de C2.

Qual o bom valor para C2? Isto é DIY, basta experimentar!
O mosfet tem o seu ponto de funcionamento garantido através da rede de feedback composta pela resistência R2 e o potenciómetro P1, chamada rede de Schade (1938), que liga o drain à gate.
O potenciómetro P1 é opcional e permite controlar o ponto de funcionamento do mosfet. Um trimpot escondido dentro da caixa também serve para ajustar o ponto de funcionamento e que ficará fixo neste caso.
E fez-se luz
Como resistência de potência vamos usar um lâmpada de carro, é a carga do componente activo, e especifica a impedância de saída do circuito. À semelhança do que acontece com os amplificadores a válvulas este amplificador tem uma impedância de saída elevada o que faz transparecer as qualidade do speaker.

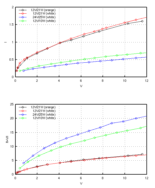
Uma lâmpada comporta-se como uma resistência não linear. Quanto mais quente está maior é a resistência. A resistência aos terminais da lâmpada não obedece à lei de Ohm.
Os gráficos anteriores mostram o valor da resistência de várias lâmpadas de carro de que se podem comprar.
As lâmpada típicas de médios/macha-atrás e de pisca (âmbar) têm usualmente 21W e devem ser alimentadas as 12V (curvas a preto e vermelho). Arranjei também uma lâmpada de 10W (curva a verde) e ofereceram-me uma lâmpada de empilhadora de 24V de 25W (ou será de camião?).
O amplificador funcionará bem qualquer uma das lâmpadas. A resistência das lâmpada de 21W é menor e por isso deverá arranjar-se um dissipador maior. A minha escolha foi a lâmpada de 24V/25W.
Ilustração dos diversos passos de montagem
O suporte para a lâmpada é de reboque:




O dissipador:

Optei por fazer a caixa em madeira. Tem dimensões (12cmx16cm) e as laterais (4.3cmx16cm). Têm espessura de 1.5cm).



E usei umas calhas de alumínio de 4.3cm para colocar os jacks:

E confirma-se que está tudo bem:

Fura-se o dissipador. Note-se no círculo interior onde se vai colocar o mosfet.

Optei por montar tudo numa linha de contactos que tinha para aqui, mas podia ter usado uma stripboard:

E um spaceinvader que teimou em ajudar. Ficou tudo mais fácil a partir daqui ;)


A montagem do transístor requer algum cuidado. É necessário massa térmica e um isolador de cerâmica (ou outro) .

Costumo colocar massa térmica entre o isolador e o dissipador e o transístor.

E já me esquecia... a fonte de alimentação é um carregador de portátil 18V 2.23A, mas qualquer outro serve.


Notas finais
E já está! As fotografias seguintes mostram a clara vantagem de usarmos uma lâmpada: não ser necessário instalar um led on-off.

O plástico vermelho dá aquela sensação quente que tanto gostamos em amplificadores de guitarra :P.
Os circuitos simples, e este é um caso desses, permitem identificar muito bem os efeitos que se obtêm quando se varia um parâmetro. O potenciómetro P1 permite controlar o ponto de funcionamento do mosfet permitindo controlar a distorção e compressão do sinal final amplificado.
E como soa? Bom melhor mesmo é montar um!
Boas construções!
Created: 21-06-2018 [08:45]
Last updated: 05-12-2025 [11:38]
For attribution, please cite this page as:
Charters, T., "LAMP - Amplificador 1W com um Mosfet": https://nexp.pt/1Wmosfet.html (05-12-2025 [11:38])
(cc-by-sa) Tiago Charters - tiagocharters@nexp.pt